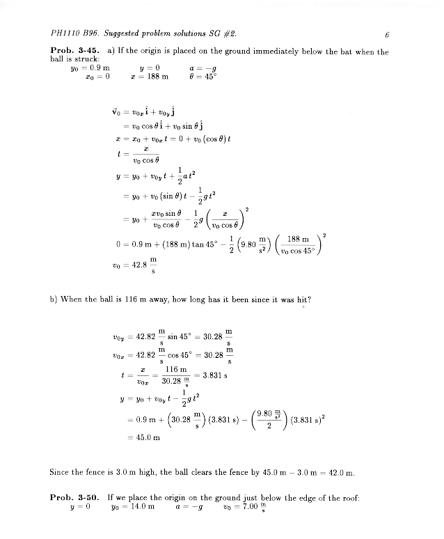
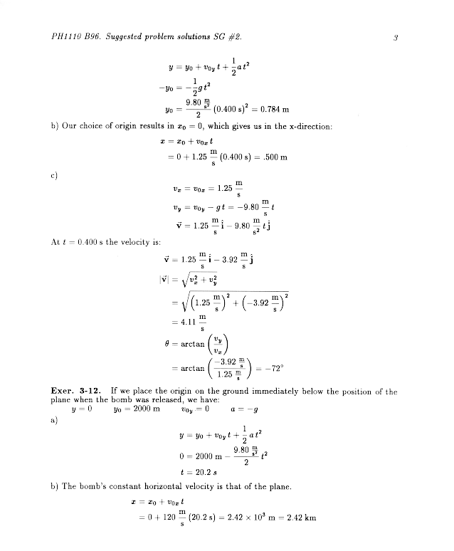
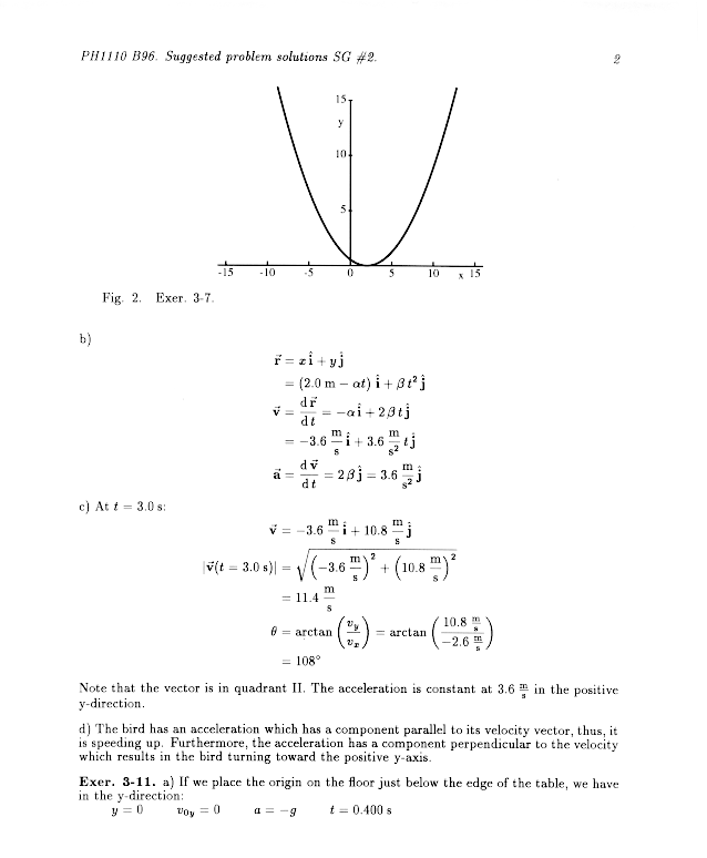
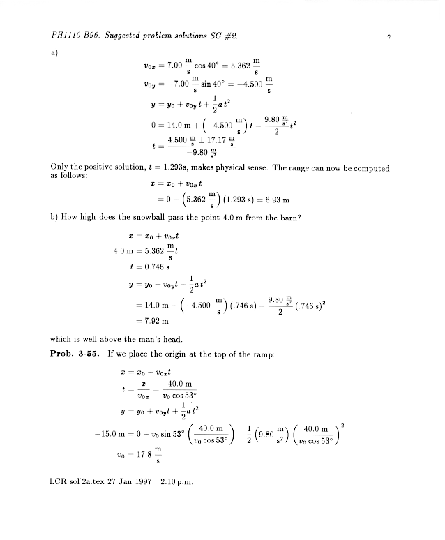
PH1110 -- Term C, 2000


Solutions to Chapter 3 Suggested Problems











PH1110 Term C, 2000 Home Page

WPI Physics Home Page

Two Towers Logo WPI Home page.


Written by: thkeil@wpi.edu
November 25, 1999
Maintained by: webmaster@wpi.edu