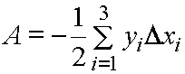
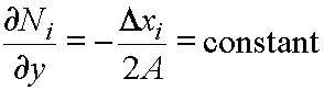
Integration Formulae for Linear Triangles

(J.M. Sullivan)